вычисли (12×а + b)×2/3 - C если а= 5/15,b= 2/3 c= 1 1/3
Приложения:

vedenkovsvyatoslav:
ты уже решил(а
Ответы
Ответ дал:
0
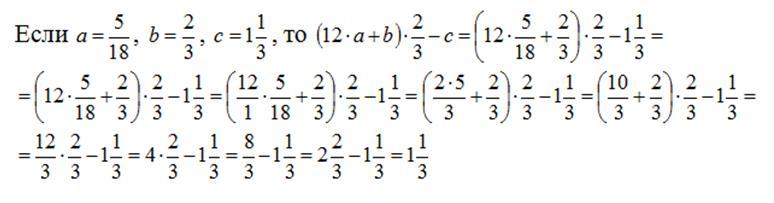
См. решение на картинке
Приложения:

Вас заинтересует
2 года назад
2 года назад
2 года назад
2 года назад
7 лет назад
9 лет назад