Ребят пожалуйста помогите, сижу 2-ой час ничего не понимаю
Буду благодарен
Пожалуйста
Приложения:

Ответы
Ответ дал:
1
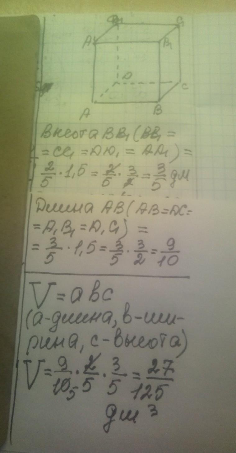
Ответ:
дм³
Пошаговое объяснение:
Ширина = дм
Высота дм
Длина дм
Объем =
Ответ дал:
1
Ответ:
решение на фотографии
Приложения:

Вас заинтересует
2 года назад
2 года назад
2 года назад
2 года назад
7 лет назад
9 лет назад