• Предмет: Математика
  • Автор: fh1246081
  • Вопрос задан 3 года назад

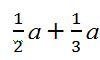
Вычислите! Математика 6 класс.

Приложения:

Ответы

Ответ дал: daraafanaseva661
1

Ответ:

2/5 а

Пошаговое объяснение:

рнимомьмьмщьмштмог


aminadavlatsina83: пасибо братан , помог
daraafanaseva661: пж )
Вас заинтересует