• Предмет: Алгебра
  • Автор: mihailov2706
  • Вопрос задан 3 года назад

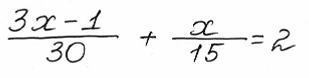
решите ПОДРОБНО уравнение

Приложения:

Ответы

Ответ дал: karapetyan8
0
вот подробный ответ)))
Приложения:

mihailov2706: не то
Вас заинтересует