• Предмет: Математика
  • Автор: eugeniberejnoi
  • Вопрос задан 3 года назад

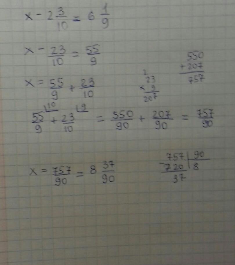
Реши уравнение:
х - 2 3/10 = 6 1/9

Ответы

Ответ дал: Applegate
8

Ответ:

8 37/90

Пошаговое объяснение:

на фото

Приложения:

eugeniberejnoi: спасибо большое
Applegate: Всегда рад помочь))))
aigulya2704: огромное спасибо
Вас заинтересует