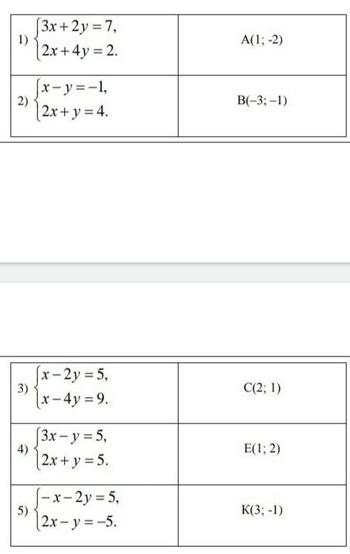
Помогите пж .ДАЮ 50 БАЛЛОВ ,помогите пж Задание на фото а фото вверху. Задание:решить системы графическим способом, а для быстрой проверки соотнести полученный
ответ с парой чисел в соседнем столбце.
Приложения:
Ответы
Ответ дал:
2
Ответ точки пересечения в условии неправильные
Объяснение:
Приложения:
Вас заинтересует
2 года назад
2 года назад
3 года назад
3 года назад
8 лет назад
8 лет назад
9 лет назад
9 лет назад