• Предмет: Математика
  • Автор: 89898966575
  • Вопрос задан 3 года назад

Неопределенный интеграл и его свойства.
С РЕШЕНИЯМИ ПОЖАЛЙСТА !!!!

Приложения:

Ответы

Ответ дал: Miroslava227
1

Ответ:

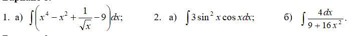
1.а

∫( {x}^{4}  -  {x}^{2}  +  {x}^{ -  \frac{1}{2} }  - 9)dx =  \frac{ {x}^{5} }{5}  -  \frac{ {x}^{3} }{3}  +  \frac{ {x}^{ \frac{1}{2} } }{ \frac{1}{2} }  - 9x + C =  \frac{ {x}^{5} }{5}  -  \frac{ {x}^{3} }{3}  + 2 \sqrt{x}   - 9x + C

2.а

∫3 { \sin(x) }^{2}  \cos(x) dx =  3∫ { \sin(x) }^{2} d( \sin(x) ) = 3 \times  \frac{ { \sin(x) }^{3} }{3}  + C =  { \sin(x) }^{3}  + C

2.б

∫ \frac{4dx}{9 + 16 {x}^{2} }  = ∫ \frac{4dx}{ {3}^{2} +  {(4x)}^{2}  }  = ∫ \frac{d(4x)}{ {3}^{2} +  {(4x)}^{2}  }  =  \frac{1}{3} arctg( \frac{4x}{3} ) + C

Вас заинтересует