• Предмет: Математика
  • Автор: JeNyA99
  • Вопрос задан 3 года назад

ВЫСШАЯ МАТЕМАТИКА. Просьба решать с пояснением,результатов с калькулятора мне нужно.

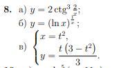
Приложения:

Ответы

Ответ дал: Miroslava227
1

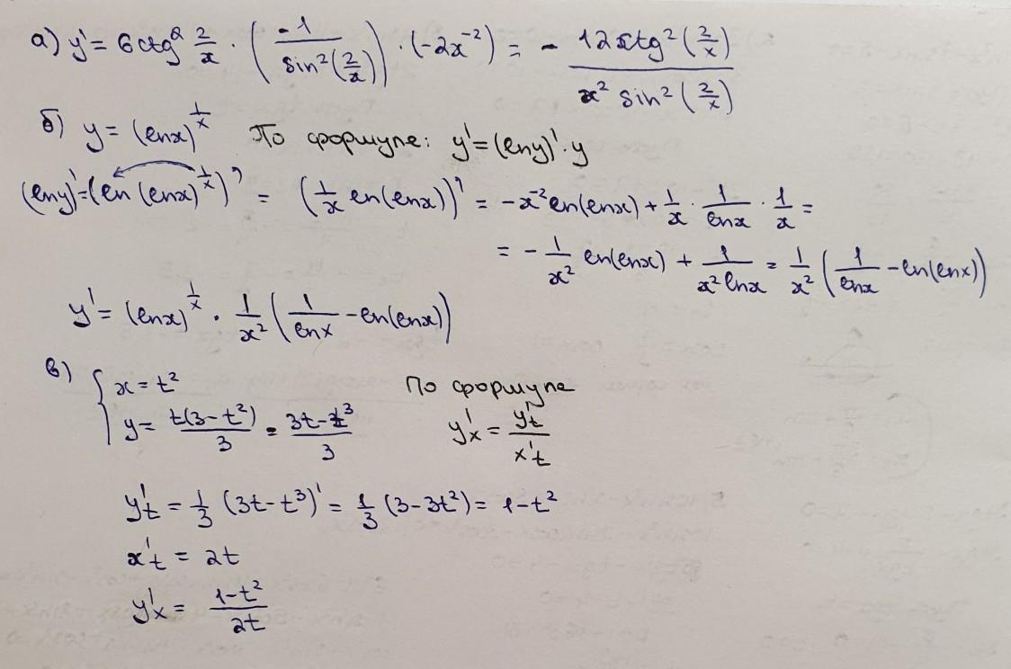
Ответ:

решение на фотографии

Приложения:
Вас заинтересует