• Предмет: Геометрия
  • Автор: nadarma20000
  • Вопрос задан 3 года назад

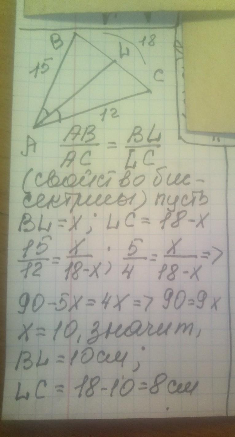
Помогите .Дано:АВС-треугольник. АВ=15см ; АС=12 см; ВС= 18 см; АL-биссектриса треугольника.Найти BL;LC​

Ответы

Ответ дал: manyny06
3

Ответ:

решение на фотографии

Приложения:

nadarma20000: Спасибо ❤️
Вас заинтересует