• Предмет: Алгебра
  • Автор: xlchik2
  • Вопрос задан 3 года назад

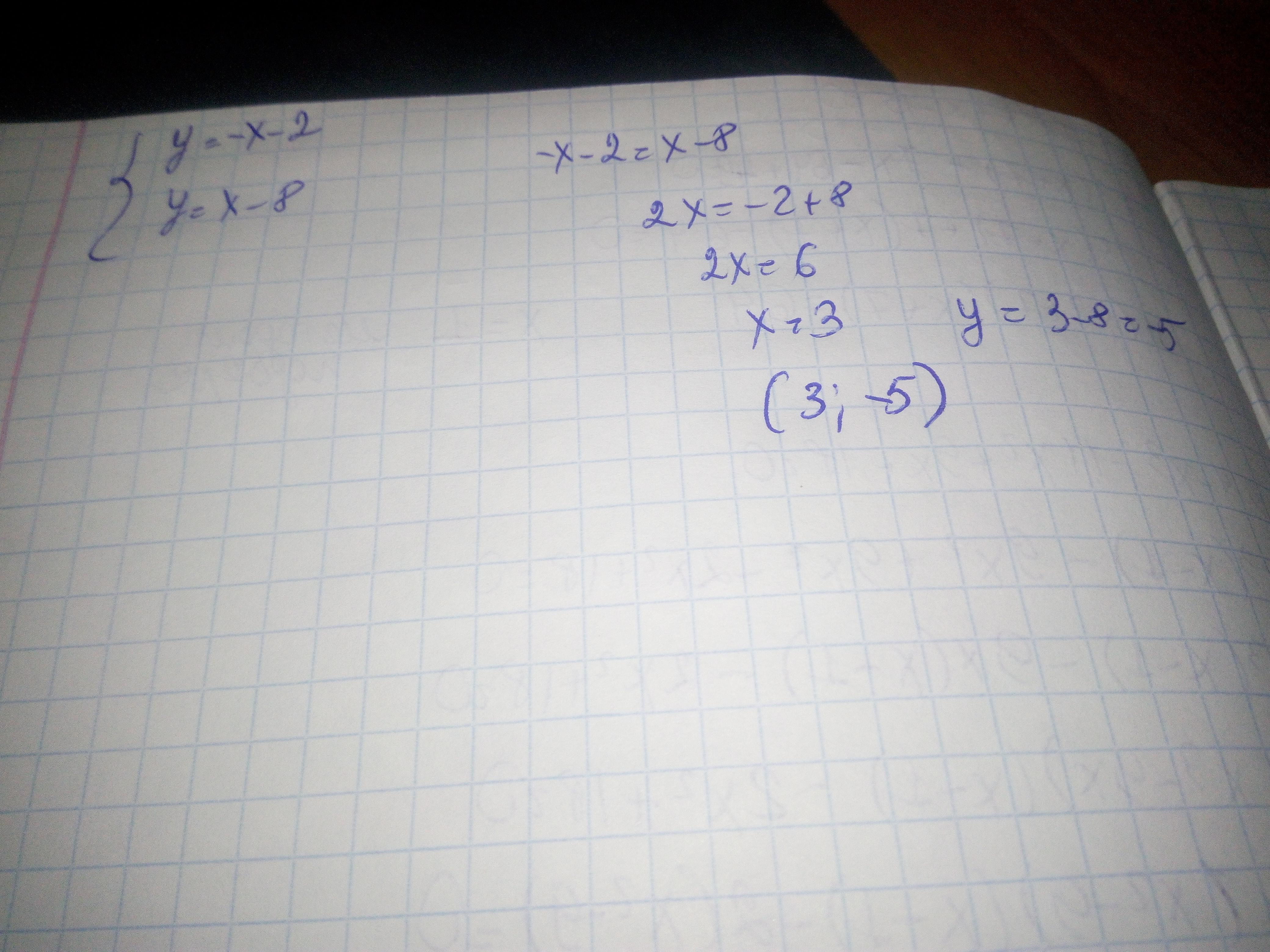
найдите координаты точек пересечения прямых y=-x-2 и y=x-8

Ответы

Ответ дал: vityamath
1

Ответ:

( 3 ; -5 )

Объяснение:

y=-x-2

y=x-8

-x-2=x-8

-x-x=-8+2

-2x=-6

x=3

y=x-8

y= 3-8

y= -5


xlchik2: спасибо контрольную напишу
Ответ дал: PinkesRose
1

Ответ:файл

Объяснение:

Приложения:
Вас заинтересует