• Предмет: Алгебра
  • Автор: ju0949
  • Вопрос задан 3 года назад

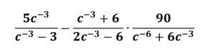
Срочно!! Упростите выражение

Приложения:

Ответы

Ответ дал: sharofat0
1

Ответ:

5 +  {15c}^{3}

Упростите выражение.

Приложения:
Вас заинтересует