• Предмет: Алгебра
  • Автор: Аноним
  • Вопрос задан 3 года назад

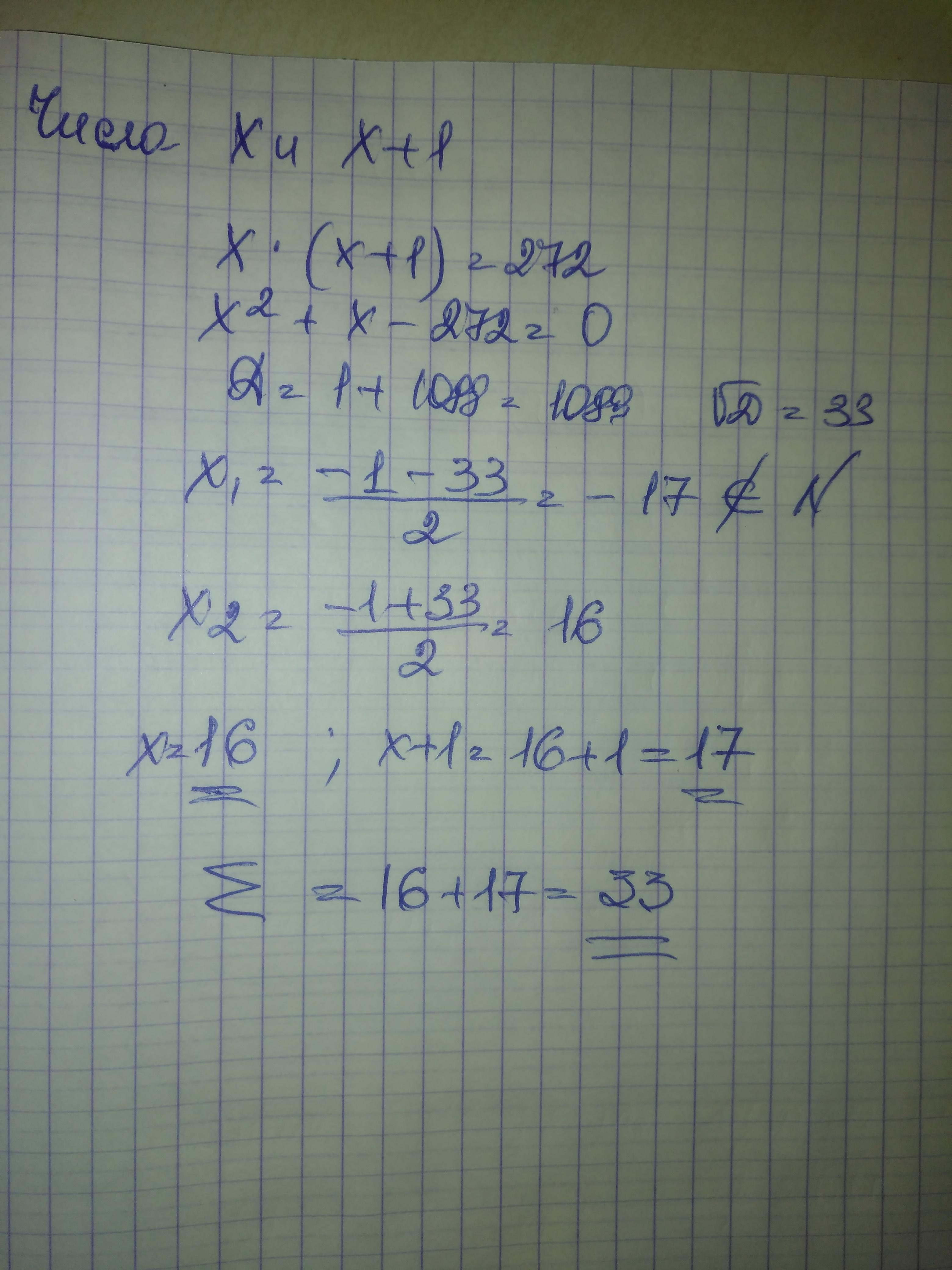
. Если произведение двух последовательных натуральных чисел равно 272, то сумма этих чисел равна
1) 33; 2) 35; 3) 36; 4) 39; 5) 41.

Ответы

Ответ дал: MizoriesKun
1

Смотри.......................

Приложения:

Аноним: о господи ты лучший человек
Вас заинтересует