Найдите корни квадратного трехчлена и разложите их на множители и найдите дискриминант
а) y2−6y+5
б) x2+14x+24
в) −y2+14y=33
г) −x2−10x−16
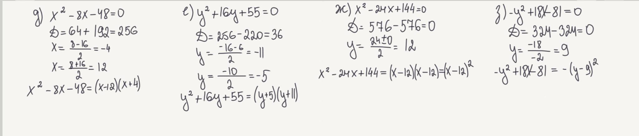
д) x2−8x−48
e) y2+16y+55
ж) x2−24x+144
з) −y2+18−81
Ответы
Ответ дал:
4
Ответ:
ax^2+bx+c=0
Объяснение:
D= b^2 -4ac
Корни: х1,2= (-b+-корень из D):2a
Множители: a(x-x1)(x-x2)
Приложения:


Вас заинтересует
2 года назад
2 года назад
2 года назад
7 лет назад
7 лет назад