• Предмет: Алгебра
  • Автор: f3nder123
  • Вопрос задан 3 года назад

помогите пожалуйсста

Приложения:

Ответы

Ответ дал: BossA29
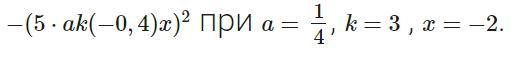
1

Ответ:

-9

Объяснение:

-4а2к2х2=-4*1/16*9*4=-9


f3nder123: ответ -9
BossA29: как
BossA29: 9 это правильный ответ
f3nder123: нет( я решал и посмотрел верный ответ написанно -9 но всё равно близко спасибо)
BossA29: ой извиняюсь не заметила - в начале
Вас заинтересует