• Предмет: Алгебра
  • Автор: ajzadaalmaskanovna
  • Вопрос задан 3 года назад

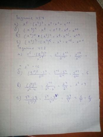
Помогите пожалуйста срочно :)! Номер 457 и 458 ​

Приложения:

Ответы

Ответ дал: babydiana66
1
Вот ответ на 2 номера
Приложения:
Ответ дал: Miа16
1

Ответ: Фото.

Объяснение:

Приложения:
Вас заинтересует