• Предмет: Алгебра
  • Автор: pakroseanna1237
  • Вопрос задан 3 года назад

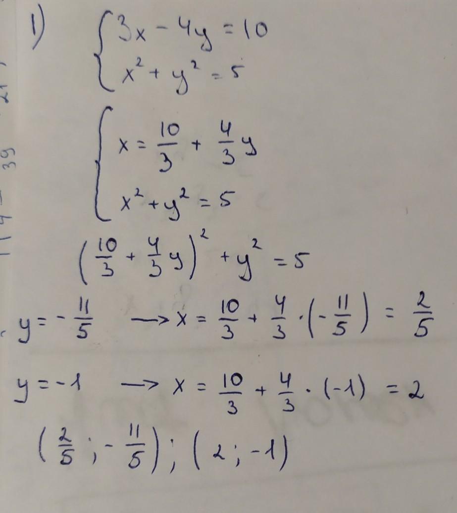
Решите пж системную уравнение
Дам 100 баллов
И плюс сделаю лучшим ответом

Прошууууууу

Приложения:

Ответы

Ответ дал: Jennifer143
1

Ответ:

Вроде бы так..........

Приложения:
Вас заинтересует