354. Отметьте на прямой две точки А и В. Сколько получилось лучей
с началом в этой точке. Сколько таких лучей можно провести?
Ответы
Ответ дал:
0
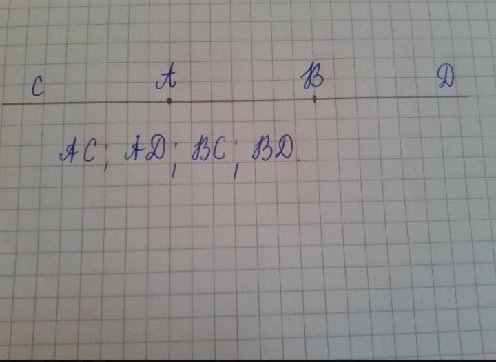
Луч - часть прямой, которая имеет начало, но не имеет конца. Первая буква обозначает начало луча (A и B). Вторая (C и D) - его направление.
Всего 4 луча.
См. в приложении.
----------------------------
Приложения:

Вас заинтересует
2 года назад
2 года назад
2 года назад
7 лет назад
7 лет назад
9 лет назад