• Предмет: Алгебра
  • Автор: grafdara7
  • Вопрос задан 3 года назад

Помогите пожалуйста​

Приложения:

Ответы

Ответ дал: MrSolution
0

Ответ:

(см. объяснение)

Объяснение:

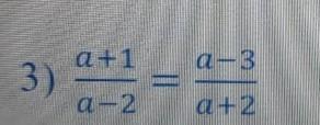
\dfrac{a+1}{a-2}=\dfrac{a-3}{a+2}

ОДЗ:

a\ne\pm2

Решение:

\dfrac{a+1}{a-2}=\dfrac{a-3}{a+2}\\\\(a+1)(a+2)=(a-3)(a-2)\\a^2+3a+2=a^2-5a+6\\8a=4\\a=1/2

С учетом ОДЗ:

a=0.5

Уравнение решено!


grafdara7: спасибо!!!!
Вас заинтересует