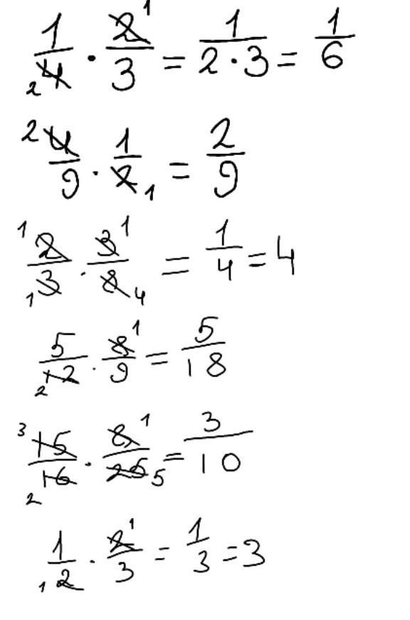
Выполни умножение : 1) 1/4 × 2/3 2) 4/9 × 1/2 3) 2/3 × 3/8 4) 5/12 × 8/9 5) 15/16 × 8/25 6) 1/2 × 2/3 в) приведите 4 примера обратных чисел
ПОМОГИТЕ СРОЧНО
Приложения:

apelsinka532:
как
Ответы
Ответ дал:
2
Пошаговое объяснение:
решение на фото........................
Приложения:


Ответ дал:
2
держи решения и всегда пожалуйста
Приложения:

Вас заинтересует
2 года назад
2 года назад
7 лет назад
7 лет назад
9 лет назад