• Предмет: Математика
  • Автор: greyonecat
  • Вопрос задан 3 года назад

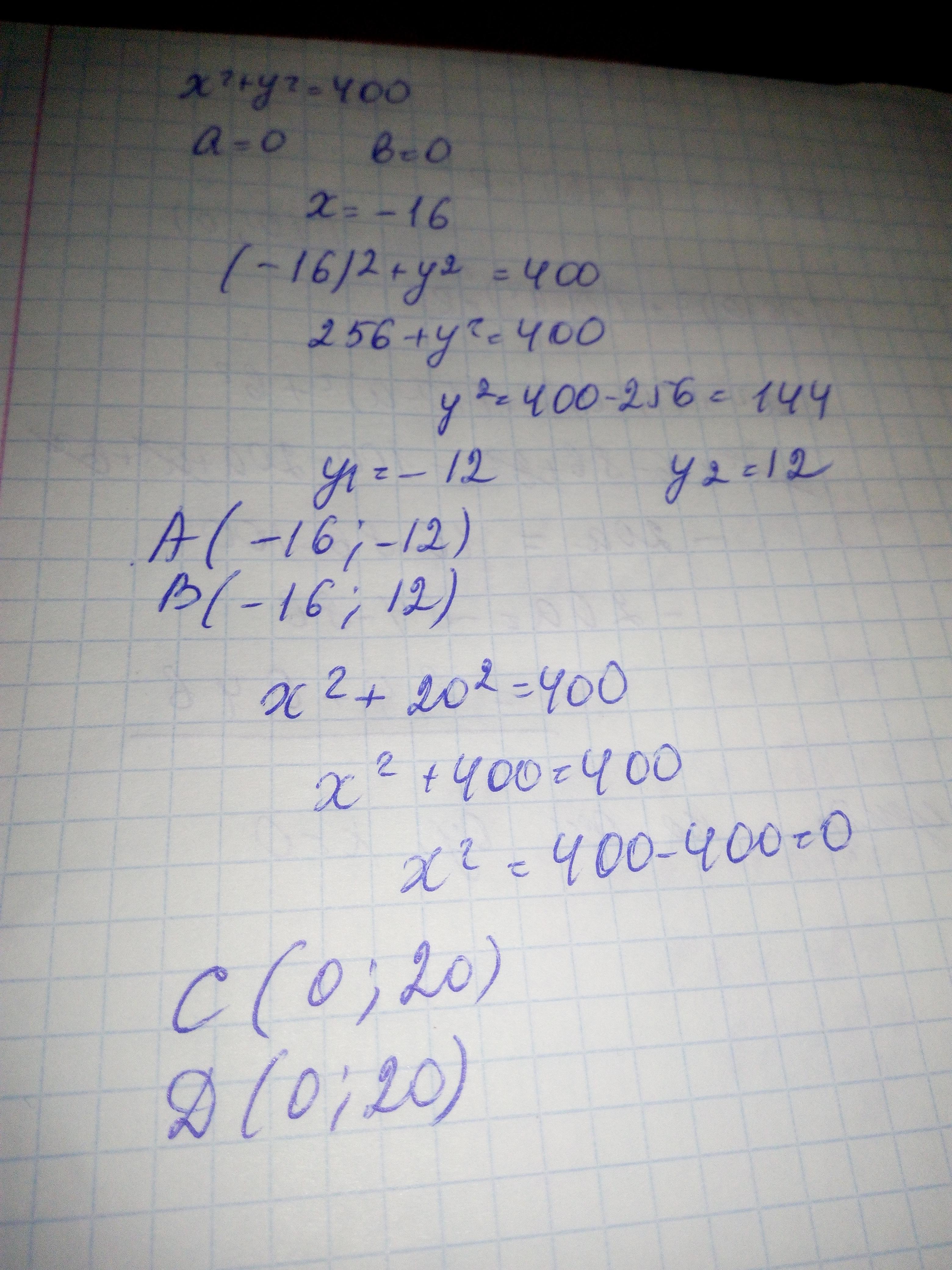
Дано уравнение окружности x^2+y^2=400.

1. Найди ординату точек на этой окружности, абсцисса которых −16.
(Запиши обе координаты точек, в точке A — ординату со знаком «−», в точке B — со знаком «+»; если второй точки нет, вместо координат пиши координаты первой точки.)

A( ; )
B( ; ).

2. Найди абсциссу точек на этой окружности, ордината которых 20.
(Запиши обе координаты точек, в точке C — абсциссу со знаком «−», в точке D — со знаком «+»; если второй точки нет, вместо координат пиши координаты первой точки.)

C( ; )
D( ; ).

Ответы

Ответ дал: PinkesRose
22

Ответ:

Пошаговое объяснение:

Приложения:
Вас заинтересует