• Предмет: Математика
  • Автор: Tequila505
  • Вопрос задан 3 года назад

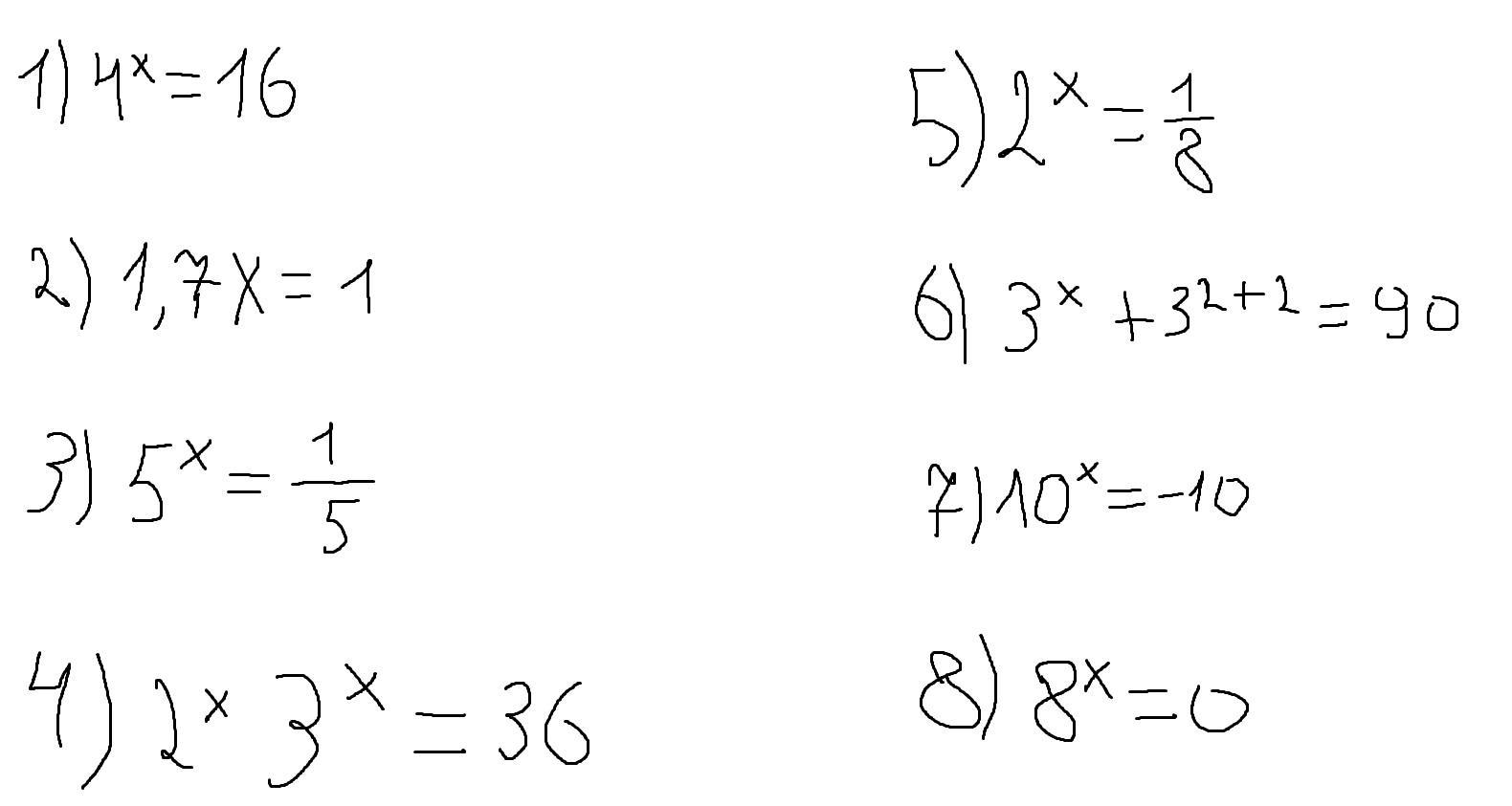
Помогите решить что можете пж

Приложения:

makarbohonov: х это степень или переменная на которую умножаеться?
Tequila505: Степень
Avantgardе: В 4 2*3^x или 2^x * 3^x?

Ответы

Ответ дал: sofiyavictoria
1

Ответ:

Пошаговое объяснение:

1). 4^x=4^2          2).  1,7*x=1            3). 5^x=5^(-1)      4). 2^x*3^x=36

     x=2                       x=10/17                x=-1                     6^x=6^2.     x=2

5). 2^x=2^(-3)      6).3^x+3^4=90      7).10^x=-10        8).  8^x=0

     x=-3                   3^x+81=90            корней нет          корней нет

                                 3^x=3^2

                                  x=2

Ответ дал: Avantgardе
0

1)\;4^x=16\\x=\log_416\\x=2

2)\;1.7x=1\\\\x=\dfrac1{1.7}\\\\x=\dfrac{10}{17}

3)\;5^x=\dfrac15\\\\x=\log_5\dfrac15\\\\x=-1

4)\;2^x\cdot3^x=36\\(2\cdot3)^x=36\\6^x=36\\x=\log_636\\x=2

5)\;2^x=\dfrac18\\\\x=\log_2\dfrac18\\\\x=\log_2\dfrac1{2^3}\\\\x=-3

6)\;3^x+3^{2+2}=90\\3^x+3^4=90\\3^x+81=90\\3^x=9\\x=\log_39\\x=2

7)\;10^x=-10

Корней нет, поскольку степень не может давать отрицательное число, если её основание положительно

8)\;8^x=0

Корней нет, так как степень никогда не даёт 0 (если основание \neq 0)

Вас заинтересует