• Предмет: Математика
  • Автор: kid141r
  • Вопрос задан 3 года назад

Решите пожалуйста, даю 60 баллов ​

Приложения:

Ответы

Ответ дал: aliaru0810
1

Ответ:

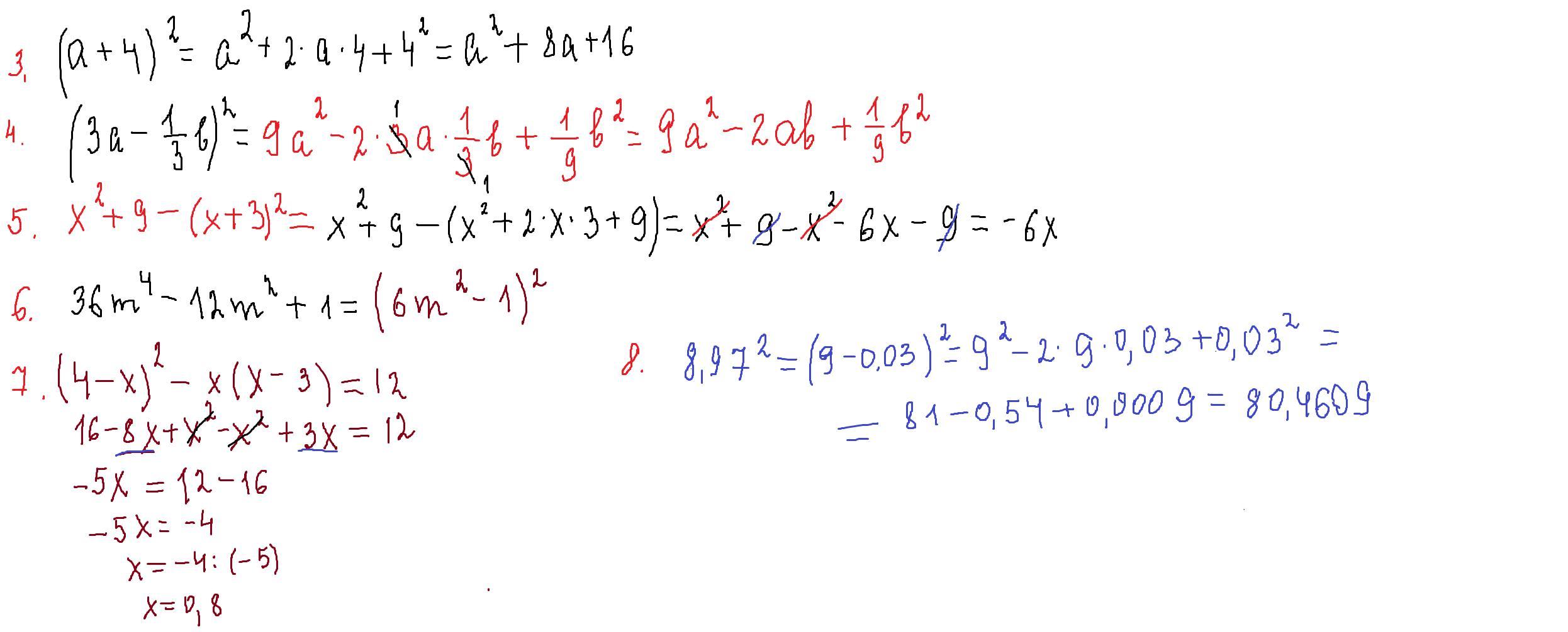
3.а2+8а+16

4.9а2-2аb+1/9b2

5-6x

6..(6m2-1)2

7.4/5

8.(897/100)2

Пошаговое объяснение:

2 это квадрат!!!

Ответ дал: parus77
1

Ответ:

Пошаговое объяснение: (а±в)²=а²±2ав+в²

решение внизу

Приложения:

kid141r: огромное спасибо
Вас заинтересует