• Предмет: Математика
  • Автор: averaxina2016
  • Вопрос задан 3 года назад

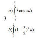
Пожалуйста,помогите вычислить определенный интеграл, используя формулу Ньютона-Лейбница

Приложения:

Ответы

Ответ дал: manyny06
1

Ответ:

решение на фотографии

Приложения:
Вас заинтересует