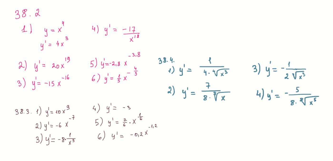
38. 2. Найдите производную функции:
1) y=a4;
3) у = x-15.
5) = x-2,8.
2) = 220.
4) =
6) = x5.
7)
Помагите Пожалуйста
Приложения:

Ответы
Ответ дал:
1
Ответ:
.......................
Пошаговое объяснение:
Приложения:

gudratgadzhiev001:
Пошаговое объяснение это как? можно просто писать и все?
Вас заинтересует
2 года назад
2 года назад
2 года назад
2 года назад
7 лет назад
9 лет назад