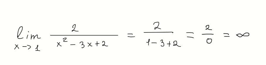
lim x->1 (2/(x^2-3x+2). Я понимаю, что знаменатель мы раскладываем на скобки, получается (x-1)(x-2). А что дальше? Пожалуйста, объясните подробно
Ответы
Ответ дал:
0
Ответ:
сначала нужно просто подставить,то к чему х стремится, и посмотреть есть ли неопределенность, в этом примере нет неопределенности. будет просто бесконечность.
Пошаговое объяснение:
Приложения:
Вас заинтересует
2 года назад
2 года назад
3 года назад
3 года назад
8 лет назад
8 лет назад
9 лет назад