• Предмет: Математика
  • Автор: vladislavatysenko970
  • Вопрос задан 3 года назад

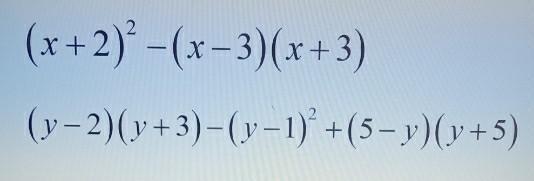
спростити вирази!
Очень нужно ​

Приложения:

Ответы

Ответ дал: jardananastasia
0

Пошаговое объяснение:

1.

 {(x + 2)}^{2}  =  {x}^{2} + 4x  + 4

2)

(x - 3)(x + 3)  =  { ({x} }^{2}  - 9)

3)

 {x}^{2}  + 4x + 4  -(  {x}^{2}  - 9)

4)

 {x}^{2}  + 4x + 4 -  {x}^{2}  + 9

5)

4x +4 + 9

6)

4x  + 13

ответ первого задания

4x + 13


jardananastasia: кстати скачай приложение Photomath. очень хорошие приложении для математики
vladislavatysenko970: У меня есть это приложение, мне эти задания , бы до удобнее сюда разместить)
jardananastasia: там быстрее можно просто решать чем тут
vladislavatysenko970: Я знаю, но эти задания прислал учитель, и там бы у меня не получилось решить
jardananastasia: получилось,просто вел бы пример с фото и все
vladislavatysenko970: ввела *
vladislavatysenko970: Ну мне сюда удобней размещать задания
jardananastasia: ну второй могу позже скинуть
Вас заинтересует