• Предмет: Алгебра
  • Автор: Аноним
  • Вопрос задан 3 года назад

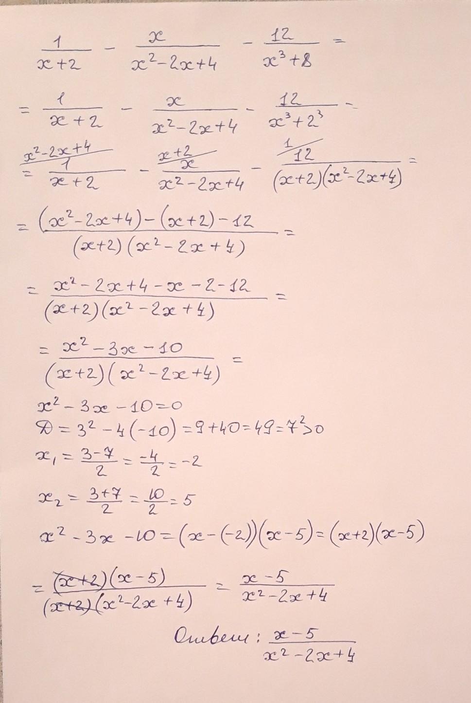
Упростите выражение

(Извиняюсь за ужасное качество фото)

Приложения:

Ответы

Ответ дал: sharofat0
1

Ответ:

 \frac{x - 5}{ {x}^{2}  - 2x + 4}  \\

Приложения:
Вас заинтересует