• Предмет: Математика
  • Автор: gena1545
  • Вопрос задан 3 года назад

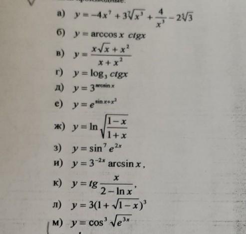
математика найти производную ​

Приложения:

Ответы

Ответ дал: Miroslava227
1

Ответ:

1)y' =  - 28 {x}^{6}  + 3 \times  \frac{3}{7} {x}^{ -  \frac{4}{7} }   - 4 \times 3 {x}^{ - 4}  =  - 28 {x}^{6}   +  \frac{9}{7 \sqrt[7]{ {x}^{4} } }  -  \frac{12}{ {x}^{4} }

2)y' =  -  \frac{1}{ \sqrt{1 -  {x}^{2} } } ctg(x) -  \frac{1}{ { \sin(x) }^{2} } arccos(x) =  -  \frac{ctg(x)}{ \sqrt{1 -  {x}^{2} } }  -  \frac{arccos(x)}{ { \sin(x) }^{2} }

3)y' =  \frac{( \frac{3}{2} \sqrt{x}  + 2x)(x +  {x}^{2} ) - (1 + 2x)(x \sqrt{x}  +  {x}^{2})  }{ {(x +  {x}^{2} )}^{2} }  =  \frac{ \frac{3}{2}x \sqrt{x}  +  \frac{3}{2} {x}^{2} \sqrt{x}   + 2 {x}^{2}   + 2 {x}^{3} - x \sqrt{x} -  {x}^{2}   - 2 {x}^{2} \sqrt{x}  - 2 {x}^{3}    }{ {(x +  {x}^{2}) }^{2} }  =  \frac{  -  \frac{1}{2}  {x}^{2} \sqrt{x}   +  {x}^{2} +  \frac{1}{2}x \sqrt{x}   }{ {(x +  {x}^{2} )}^{2} }  =  \frac{x(\sqrt{x}  + 2 x -  x  \sqrt{x} ) }{2 {x}^{2} {(1 + x)}^{2}  }  =  \frac{ \sqrt{x} + 2x - x \sqrt{x}  }{2x {(1 + x)}^{2} }

4)y' =  \frac{1}{ ln(3) \times ctg(x) }  \times ( -  \frac{1}{ { \sin(x) }^{2} } ) =   - \frac{1}{ ln(3) }  \times  \frac{ \sin(x) }{ \cos(x) }   \times  \frac{1}{ { \sin(x) }^{2} }  =  -  \frac{1}{ ln(3)  \times  \sin(x) \cos(x)  }

5)y' =  ln(3)  \times  {3}^{arcsin(x)} \times  \frac{1}{ \sqrt{1 -  {x}^{2} } }

6)y' =  {e}^{ \sin(x) +  {x}^{2}  }  \times ( \cos(x)  + 2x)

7)y' =  \frac{1}{ \sqrt{ \frac{1 - x}{1 + x} } }  \times  \frac{1}{2}  {( \frac{1 - x}{1 + x}) }^{ -  \frac{1}{2} }  \times  \frac{( - 1(1 + x) - (1 - x))}{ {(1 + x)}^{2} }  =  \sqrt{ \frac{1 + x}{1 - x} }  \times  \frac{1}{2}  \times  \sqrt{ \frac{1 + x}{1 - x} }  \times  \frac{ - 1 - x - 1 + x}{ {(1  +  x)}^{2} }  =  \frac{1}{2}  \times  \frac{1 + x}{1 - x}  \times  \frac{ - 2}{ {(1  +  x)}^{2} }  =  -  \frac{1}{(1 - x)(1 + x)}  =  -  \frac{1 }{1 -  {x}^{2} }

8)y' = 7 { \sin(x) }^{6}  {e}^{2x}  + 2 {e}^{2x}  { \sin(x) }^{7}  =  {e}^{2x} { \sin(x) }^{6}  (7 + 2 \sin(x) )

9)y' =  ln(3)  {3}^{ - 2x}  \times ( - 2)arcsin(x) +  \frac{1}{ \sqrt{1 -  {x}^{2} } }  \times  {3}^{ - 2x}  =  {3}^{ - 2x} ( \frac{1}{ \sqrt{1 -  {x}^{2} } }  - 2 ln(3) arsin(x))

10)y' =  \frac{1}{ { \cos( \frac{x}{2 -  ln(x) } ) }^{2} }  \times  \frac{2 -  ln(x)  - x \times ( -  \frac{1}{x}) }{ {(2 -  ln(x) )}^{2} }  =  \frac{1}{ { \cos( \frac{x}{2 -  ln(x) } ) }^{2} }  \times  \frac{2 -  ln(x) + 1 }{ {(2 -  ln(x)) }^{2} }  = \frac{1}{ { \cos( \frac{x}{2 -  ln(x) } ) }^{2} }  \times  \frac{1 -  ln(x) }{ {(2 -  ln(x)) }^{2} }

11)y' = 9 {(1 +  \sqrt{1 - x} )}^{2}  \times  \frac{1}{2}  {(1 - x)}^{ -  \frac{1}{2} }  \times ( - 1) =  \frac{ - 9 {(1 +  \sqrt{1 - x}) }^{2} }{2 \sqrt{1 - x} }

12)y' = 3 { \cos( \sqrt{ {e}^{3x} } ) }^{2}  \times ( -  \sin( \sqrt{ {e}^{3x} } ) ) \times  \frac{3}{2}   {e}^{ \frac{x}{2} }   =  -  \frac{9}{2} \sqrt{  {e}^{x}  }   { \cos( \sqrt{ {e}^{3x} } ) }^{2}  \sin( \sqrt{ {e}^{3x} } )

Вас заинтересует