• Предмет: Алгебра
  • Автор: sedgerh
  • Вопрос задан 3 года назад

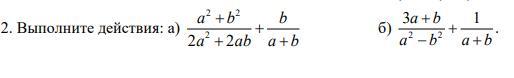
СРОЧНО ДАЮ 15 Баллов

Приложения:

Ответы

Ответ дал: vvvvika32
0
Только в строчку пиши .........
Приложения:
Вас заинтересует