• Предмет: Математика
  • Автор: fedor7782
  • Вопрос задан 3 года назад

очень прошу помощи!!!!очень срочно нужно выполнить задание!!!!! кому не сложно, пожалуйста, очень прошу, помогите!!!!!!! ​

Приложения:

Ответы

Ответ дал: harukoveksler6
0

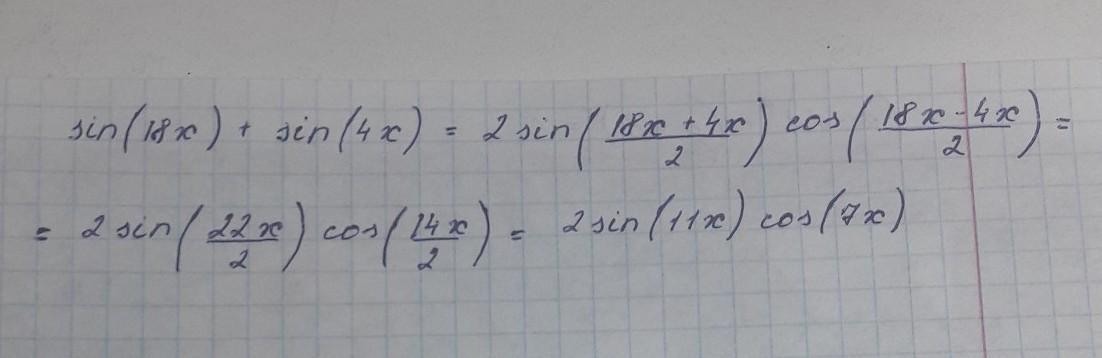
Ответ:

Ну вроде как то так. Если, что извените, по другому не выходит)

Пошаговое объяснение:

⬆️

Приложения:
Вас заинтересует