• Предмет: Математика
  • Автор: Artelona
  • Вопрос задан 3 года назад

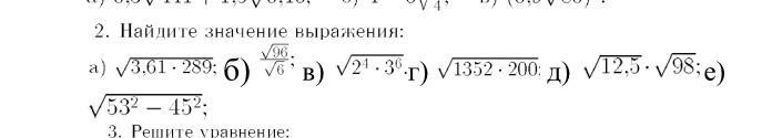
Номер 2 пжжжжпжжпдажажвдадада

Приложения:

Ответы

Ответ дал: Guruomigo
0

Ответ:

a)32,3

б)4

в)108

г)520

д)35

е)28

Пошаговое объяснение:

Вас заинтересует