• Предмет: Алгебра
  • Автор: ktus03115
  • Вопрос задан 3 года назад

ПОМОГИТЕ ОЧЕНЬ ОЧЕНЬ СРОЧНО​

Приложения:

Ответы

Ответ дал: kanmmu
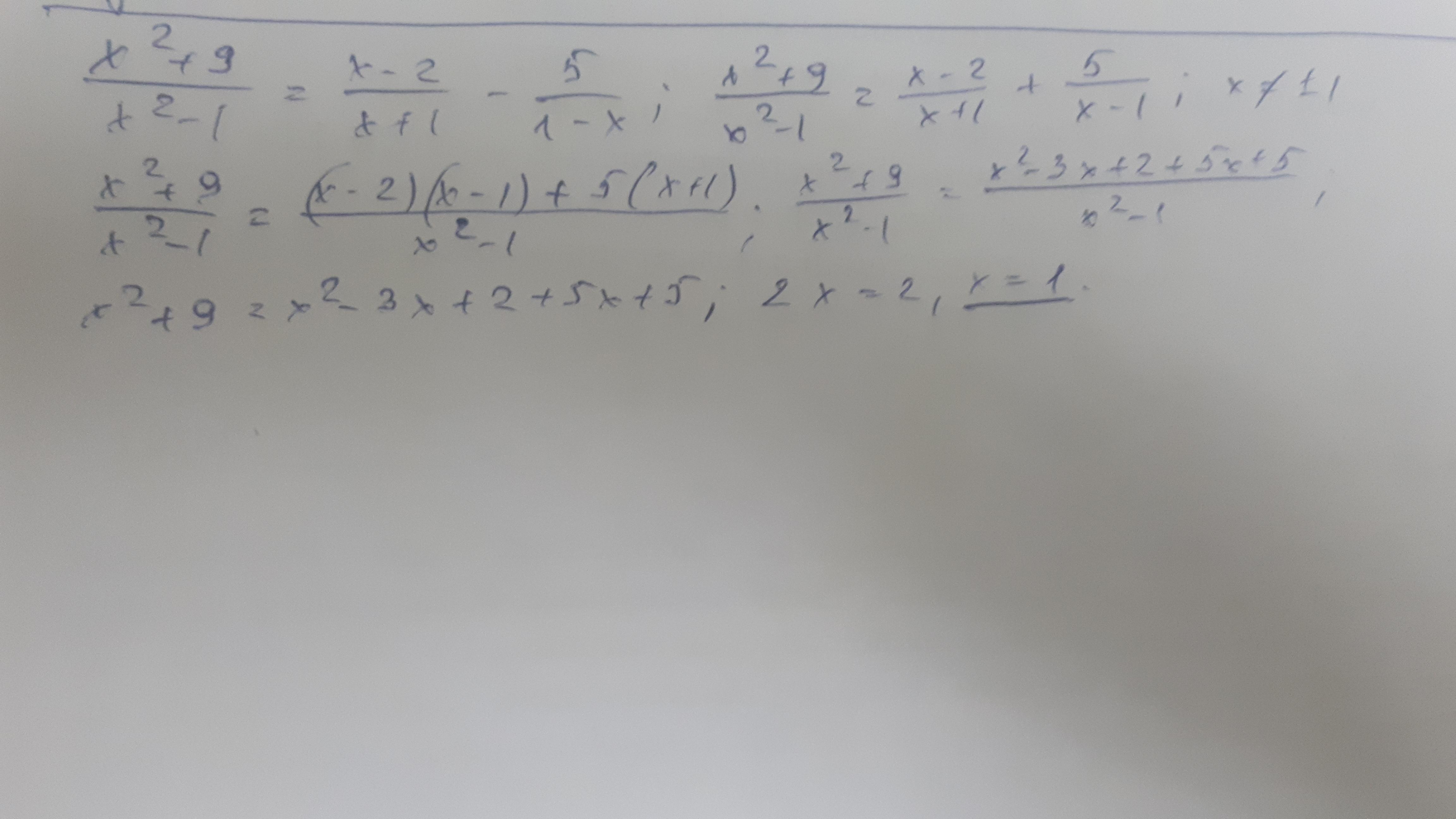
1

Ответ:

Нет решений, т.к. единственный корень не удовлетворяет ОДЗ

Объяснение:

На фото

Приложения:

kanmmu: Поспешил. Корень х=1, не удовлетворяет ОДЗ. Следовательно решение одно х=-2,5
kanmmu: Нет решений. На работе отвлекают. Sorry
ktus03115: спасибо огромное
kanmmu: Да не за что. Накосячил я. Допустил грубейшую ошибку. Не проверил ОДЗ(
Вас заинтересует