• Предмет: Алгебра
  • Автор: Evgehu
  • Вопрос задан 3 года назад

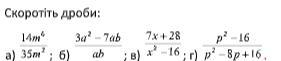
Скоротiть дроби СРОЧНО

Приложения:

Ответы

Ответ дал: alinapronina2090
0

Ответ дан на листочке выше

Приложения:
Вас заинтересует