• Предмет: Математика
  • Автор: nightwolf99
  • Вопрос задан 3 года назад

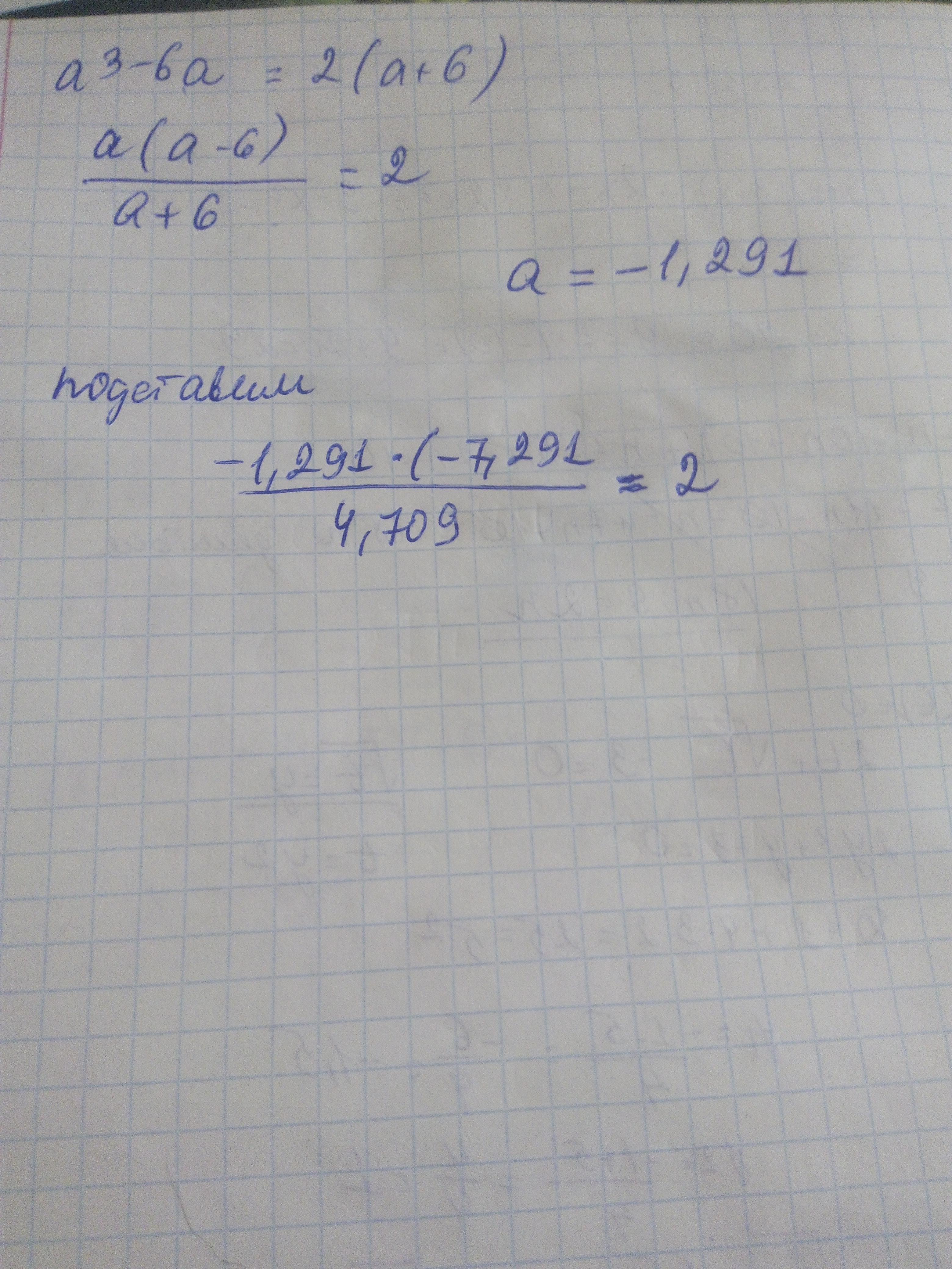
При каких значениях а верно равенство a3 — ба? 2а+ 12 — 0?​

Ответы

Ответ дал: PinkesRose
0

Пошаговое объяснение:

Приложения:

nightwolf99: не ответ не правильный(
Вас заинтересует