СРОЧОООО
Упростить выражения:
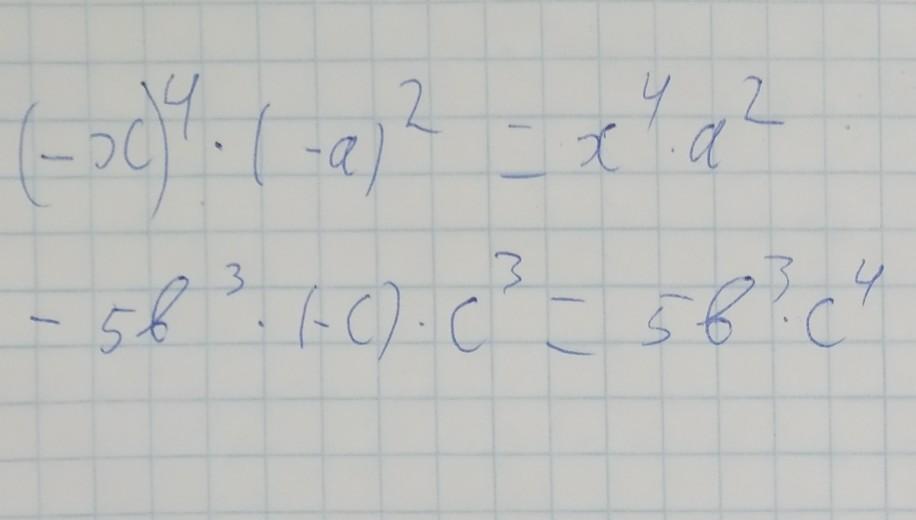
(-x)*(-a)*(-x)*(-a)*(-x)*(-x)
5b*(-c)*(-b)*b*c*c*c
*- умножить
даю 10 баллов
Ответы
Ответ дал:
1
Объяснение:
написал сразу решение
Приложения:

vaceslavkihta:
спасибо
Вас заинтересует
2 года назад
2 года назад
2 года назад
7 лет назад
9 лет назад