СДЕЛАЙТЕ ПОЖАЛУЙСТА БЫСТРО ДАМ 20 БАЛЛОВ
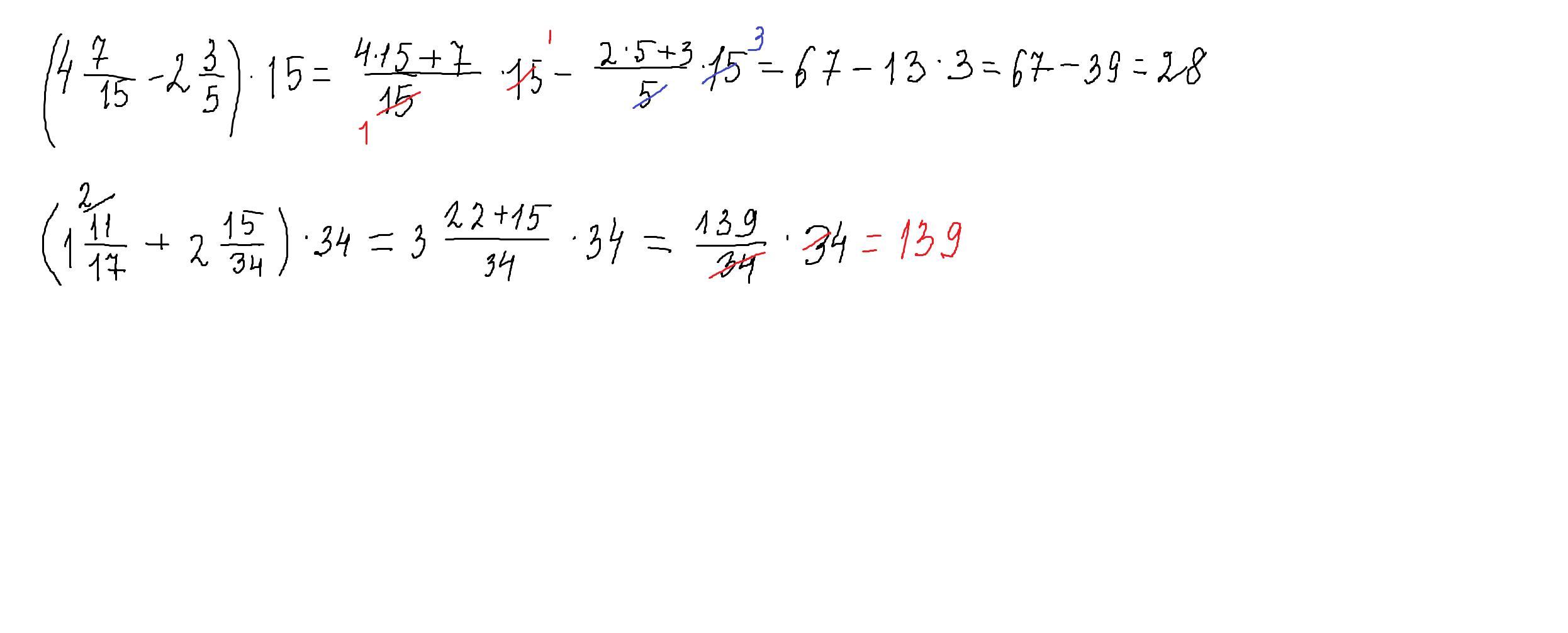
1) (4 7/15 - 2 3/5)*15; 2) (1 11/17 +2 15/34)*34
БЫСТРЕЕЕЕЕЕЕЕЕЕЕЕЕЕЕЕЕЕЕ ПРОШУУУУУУУУУУУУУУУУУУУУУУУУУУ
Ответы
Ответ дал:
4
Ответ:
Пошаговое объяснение:решение внизу
Приложения:

kamilaismailova28:
спасибо большое
Вас заинтересует
2 года назад
2 года назад
2 года назад
7 лет назад
9 лет назад