• Предмет: Математика
  • Автор: raushan170218
  • Вопрос задан 3 года назад

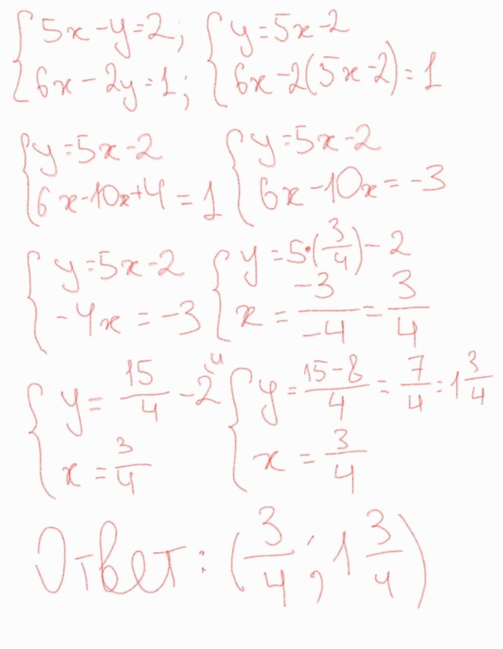
{5x-у=2
{ 6х-2у=1

упражнение 24.1​

Ответы

Ответ дал: lida2708
0

Пошаговое объяснение:

решение на фотоо........

Приложения:

raushan170218: можно графикам
Ответ дал: arinashevchik
0

Ответ:

(3/4; 1 3/4).........

Приложения:
Вас заинтересует