• Предмет: Математика
  • Автор: viKtOriA2002Vik
  • Вопрос задан 3 года назад

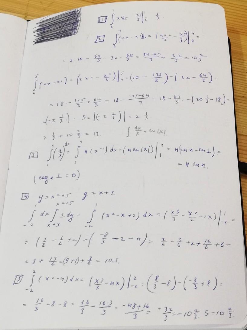
Вычислить площадь фигуры, изображенной на рисунке:
5-6 шт

Приложения:

Ответы

Ответ дал: pomidorkasvezhaya
2

На мазню в верхнем левом углу не обращайте внимания. А так надеюсь, что правильно..

Приложения:
Вас заинтересует