• Предмет: Математика
  • Автор: elgachimuchi
  • Вопрос задан 3 года назад

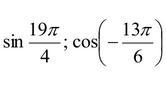
Как решать примеры именно с радианами, такие как на фото . Объясните пожалуйста.

Приложения:

Ответы

Ответ дал: slganiev
1

Ответ:

Пошаговое объяснение:

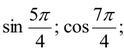
дивись.....

Приложения:

elgachimuchi: непонятный почерк. но спс за старания
elgachimuchi: можно более подробно, почему sin 5p/4 превратился в p + p/4. Почему в первом случае мы просто p плюсуем, а во втором 2p?
slganiev: вы уже учили формулы приведения?
slganiev: если нет, то понять пока будет непросто
slganiev: завтра обьясню
elgachimuchi: моя практическая завтра: я для вас шутка?
slganiev: Почему так ставіш вопрос? я студент ,і у меня много своїх заданій,но я люблю помогать тем,которие хотять понять,а радіани немного сложние.
slganiev: Запиши отдельно,п+п/4 ето дробь,теперь реши дробь и получить 5п/4
elgachimuchi: я не хотел тебя задеть. я не в коем случае тебя не упрекал.
Вас заинтересует