• Предмет: Информатика
  • Автор: Аноним
  • Вопрос задан 3 года назад

БОЛЬШИЕ БАЛЛЫ!!!!! ПОМОГИТЕ ПОЖАЛУЙСТА С ИНФОРМАТИКОЙ!!!!! НАДО ПОДРОБНО!!!!!

Приложения:

Ответы

Ответ дал: HP2020
0

Program Primer1_1;  {просто заголовок программы}

var k: integer; a, y: real;  {описана целочисленная переменная k и действительные переменные a и y}

begin  

read (a); {с клавиатуры считывается a}

for k := 1 to 10 do  {в цикле по k от 1 до 10}

begin

 у := a * sqr(k);  {вычисляется значение y = a * k * k, т.е. a * k в квадрате}

 writeln(’K=’,k:2,’Y=’,y:10:3)  {выводится значения K и Y}

end

end.

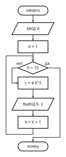
Итак, эта программа выводит таблицу значений функции y=ak^2 при заданном a для k от 1 до 10.

Блок-схема приведена во вложении.

Приложения:

Аноним: HP2020,это точна?????ну всм правильна?????
Вас заинтересует