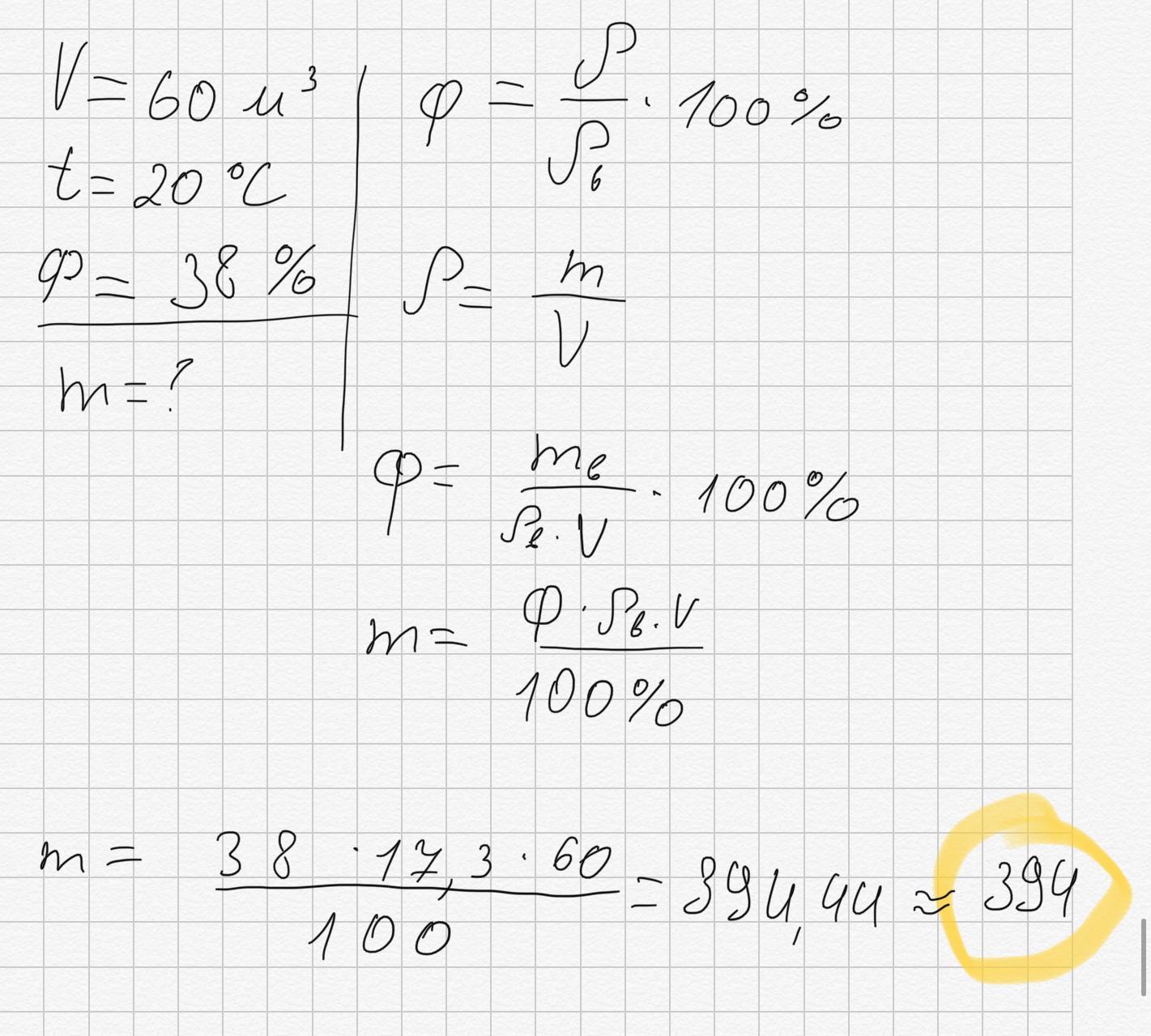
Домашняя метеостанция показывает, что в комнате объемом 60 м3 относительная влажность воздуха равна 38 %. Температура воздуха в комнате равна 20 °С. Используя таблицу (рисунок), определите массу воды в воздухе этой комнаты. Ответ дайте в граммах и округлите до целого.
yapa49:
Можно корону?)
Ответы
Ответ дал:
17
Ответ:
394
Объяснение:
На скриншоте
Приложения:

Вас заинтересует
2 года назад
2 года назад
2 года назад
7 лет назад
7 лет назад
9 лет назад
9 лет назад