• Предмет: Алгебра
  • Автор: big82
  • Вопрос задан 3 года назад

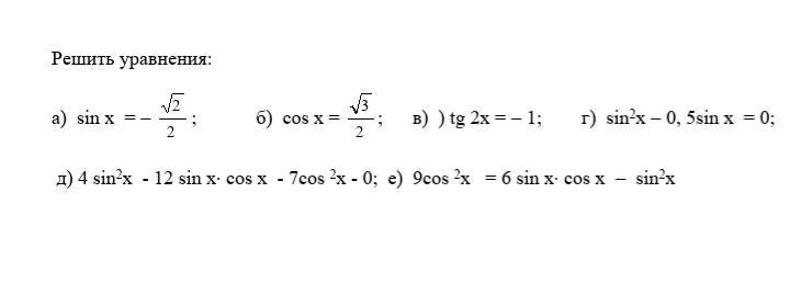
Помогите сделать уравнения даю 35 баллов





Приложения:

Ответы

Ответ дал: Miroslava227
0

Ответ:

решение на фотографиях

Приложения:
Вас заинтересует