• Предмет: Алгебра
  • Автор: zolka003
  • Вопрос задан 3 года назад

Найти определённый интеграл. Пожалуйста, помогите решить, не с фотомэс.

Приложения:

Ответы

Ответ дал: NNNLLL54
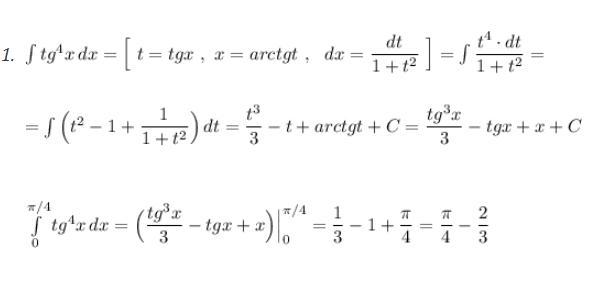
1

..........................................................................................................................

Приложения:
Вас заинтересует