• Предмет: Алгебра
  • Автор: kseniahohlova05
  • Вопрос задан 3 года назад

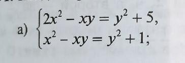
Найдите решения системы уравнения . Даю 15 баллов !!!!

Приложения:

Ответы

Ответ дал: Аноним
0

Ответ:

Объяснение:

Запишем так  систему:

х²-ху+х²=у²+5  (1)

х²-ху=у²+1.        (2)

Сделаем замену в (1) уравнении.

у²+1+х²=у²+5. (у² сокращается).

х²=5-1=4.

х=±2.

Найдем у из (2) уравнения.

при:     х=2.

4-2у=у²+1

у²+2у-3=0.

у₁₂= -1±√(1+3)=-1±2.

у₁=1 ; у₂=  -3.

Найдем у при х=-2. из (2) уравнения.

8-(-2)у=у²+5

у²-2у-3=0

у₁₂=1±√(1+3).

у₁=1+2=3.

у₂=1-2=- 1.

Вас заинтересует