• Предмет: Алгебра
  • Автор: Jefexon
  • Вопрос задан 3 года назад

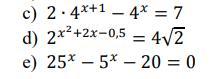
Решить показательные уравнения (3шт, короткие)

Приложения:

68tata: ещ' не учили, но хочется посметреть на решение
Jefexon: Как так? У тебя в профиле столько решений, которые мы тоже не проходили
68tata: у меня есть помощник

Ответы

Ответ дал: 68tata
1

Решение. Ещё не учили  но по логике вещей 1 и 2  должно быть верно

третье

смотри файлы

Приложения:
Вас заинтересует