ДАЮ 20 БАЛЛОВ!!!!
1)
Вычислите и запишите показатель получившейся степени: (-n) *(-n)*(-n) *(-n) *(-n) *(-n) *(-n) *(-n)
2)
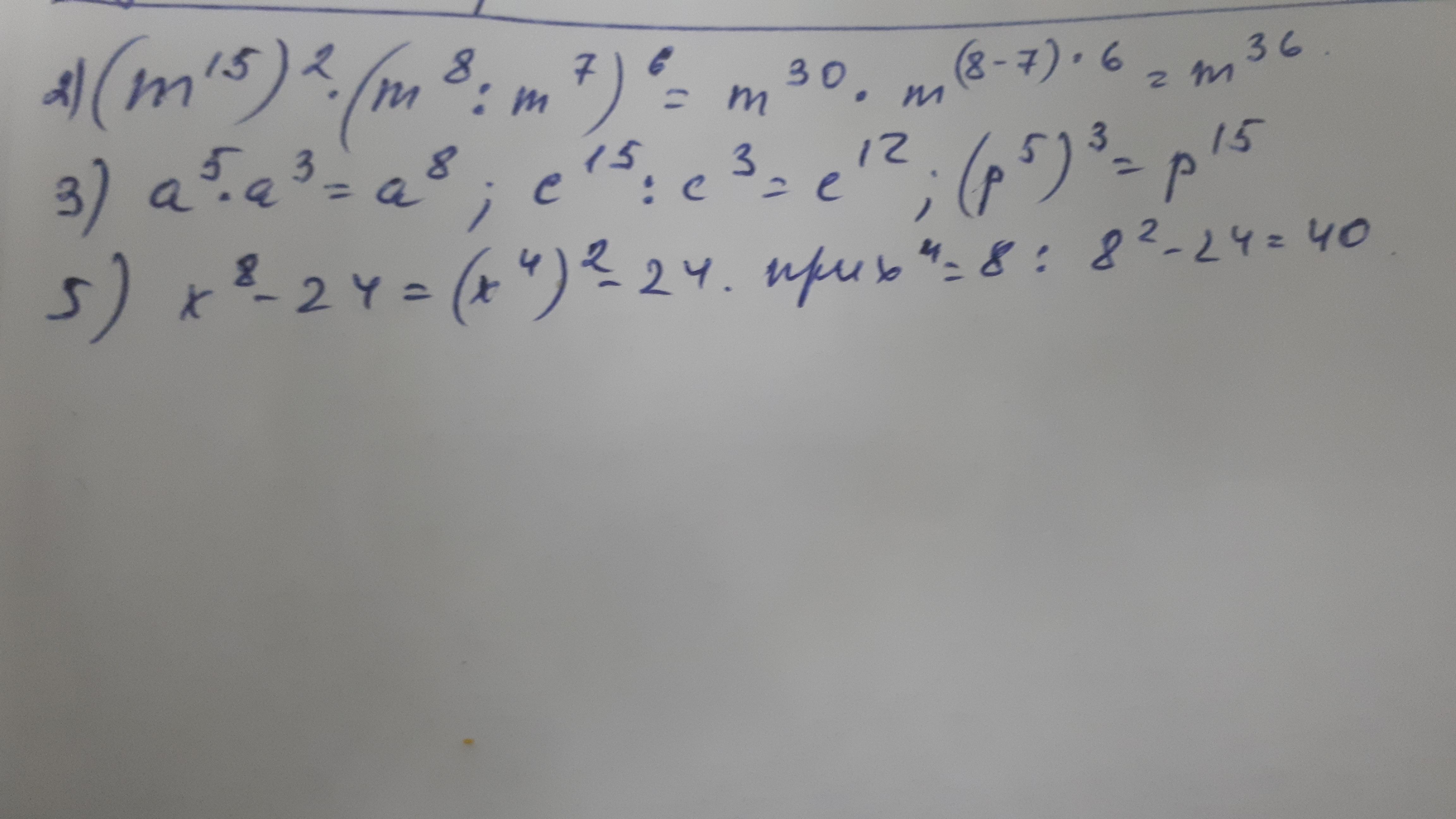
Вычислите: (m^15)^2 ∙ (m^8 : m^7)^6
3)
Выполните действия (результаты записаны через точку с запятой (;))a^5 ⋅a^3 ; c^15 :c^3 ; (p^5)^3 .
4)
Вычислите:
5)
Найдите значение выражения x^8 −24, если x^4 =8.
Ответы
Ответ дал:
1
Ответ:
1. n^8
Объяснение:
Остальное на фото
Приложения:

Вас заинтересует
2 года назад
2 года назад
7 лет назад
7 лет назад
9 лет назад
9 лет назад
/ черта дроби