• Предмет: Математика
  • Автор: Аноним
  • Вопрос задан 3 года назад

помогитепожалуйстапомогите​

Приложения:

Ответы

Ответ дал: yoonminsa1703
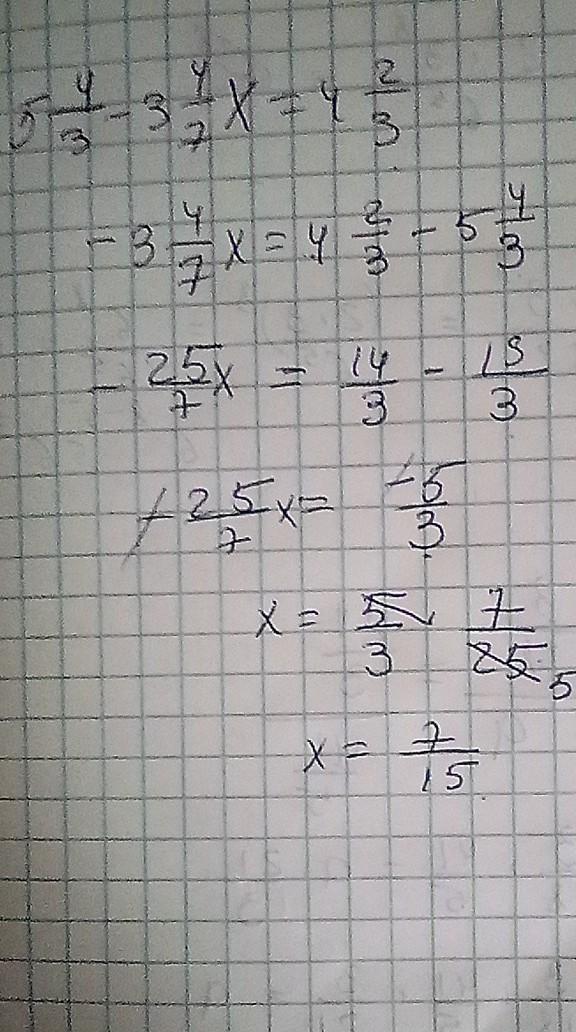
1

Ответ:

7/15

переводим смешанную дробь в неправильный дробь

и вычисляем

Приложения:

Аноним: спасибочки
Вас заинтересует