Для разминки решите легкое уравнение.
Аноним:
то чувство когда не знаешь, если это даже разминка
Ответы
Ответ дал:
1
Ответ:
ОДЗ :
х ≠ - 1 х ≠ 0
х не принадлежит R
х ≠ - 1 х ≠ 0
Ответ дал:
1
Ответ:
Объяснение:
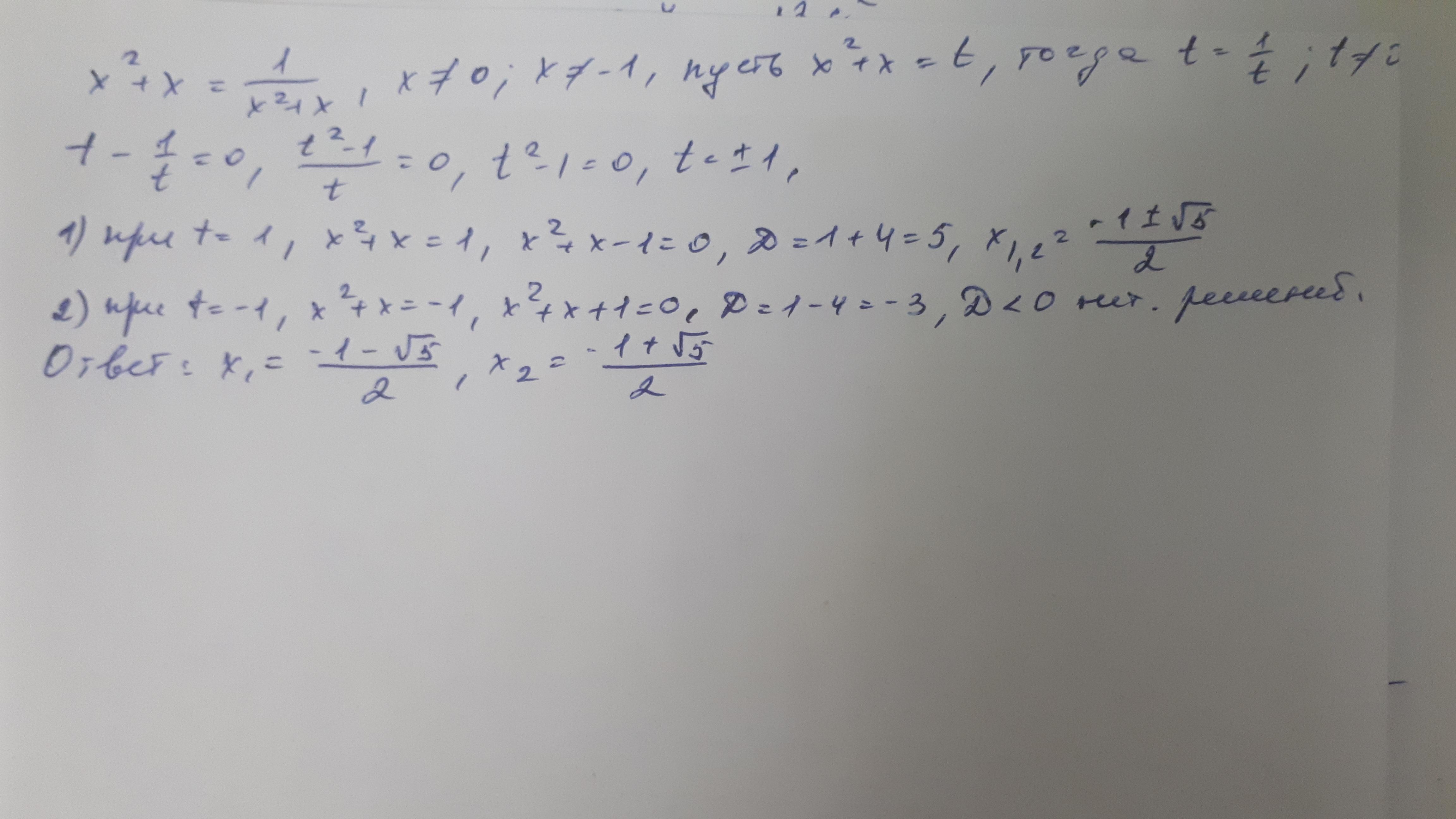
На фото
Приложения:

Вас заинтересует
2 года назад
2 года назад
2 года назад
2 года назад
7 лет назад
7 лет назад
9 лет назад