Деление с остатком записали равенством: 47 940: 129 = 371 (ост. 81). Запиши равенство для проверки.
Ответы
Ответ дал:
2
Ответ:
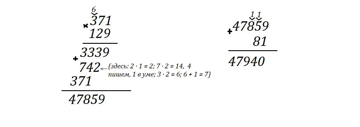
129 · 371 + 81 = 47940
Пошаговое объяснение:
Чтобы проверить, верно ли выполнено деление с остатком, нужно:
1) Сравнить делитель и остаток. Остаток должен всегда быть меньше, чем делитель.
2) Делитель умножить на неполное частное.
3) К полученному результату прибавить остаток.
**************************************************************
1) 129 - делитель, 81 - остаток.
129 > 81 - верно (делитель больше, чем остаток).
2) 129 - делитель, 371 - неполное частное.
129 · 371 = 47859 (на картинке выполнено решение в столбик)
3) 81 - остаток.
47859 + 81 = 47940 (на картинке выполнено решение в столбик)
47940 = 47940 - верно.
Значит равенство для проверки:
129 · 371 + 81 = 47940
Приложения:

Вас заинтересует
2 года назад
2 года назад
2 года назад
7 лет назад
9 лет назад