CРОЧНО ПРОШУ 15 БАЛЛОВ!!!!!!
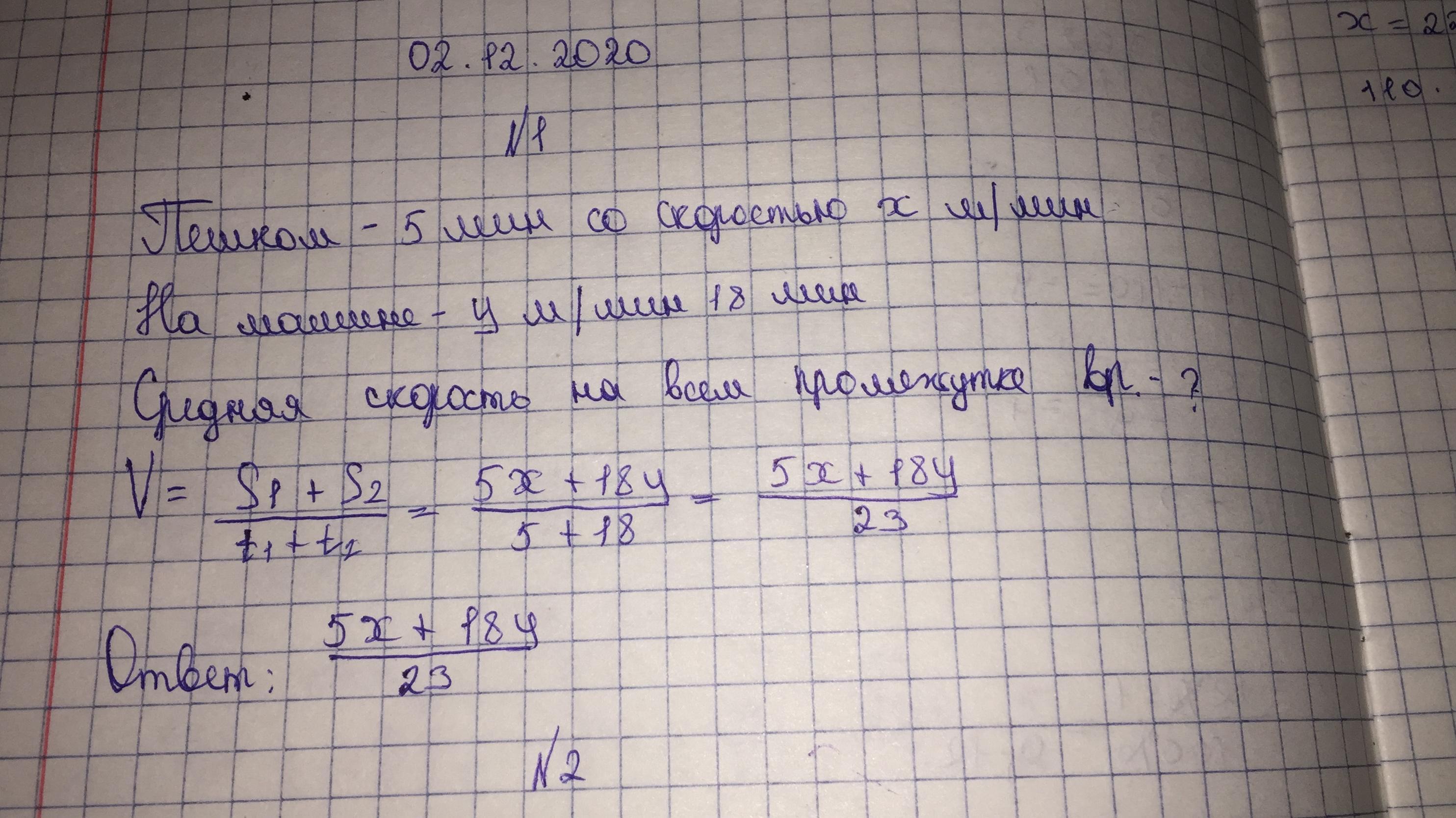
Алмаз идет пешком 5 минут со скоростью х м/мин, затем на машине у м/мин 18 минут. Найдите среднюю скорость Алмаза на всем промежутке пути.
Ответы
Ответ дал:
0
Ответ:
Пошаговое объяснение:
Приложения:

Вас заинтересует
2 года назад
2 года назад
2 года назад
7 лет назад
9 лет назад